
안녕하세요, 생큐베리머치입니다.
연 이어 발표되는 부동산정책에, 혼란스러운 부린이들 많으시죠? 그래도 부린이의 청약 공부는 계속됩니다.
오늘은 매력적인 아파트 청약 건이 있어서 소개해드려고 합니다. 바로 제5의 강남으로 불리는 과천지식정보타운의 첫 민간분양 건인 과천 푸르지오 벨라르테!
http://www.prugio.com/house/2020/gwacheon/index_w.aspx
과천 푸르지오 벨라르테
과천 푸르지오 벨라르테에서 특별한 생활이 시작됩니다.
www.prugio.com
#1. 과천 푸르지오 벨라르테 : 과천지식정보타운 내 첫 민영주택 분양

단지 정보
- 위치 : 경기도 과천시 과천지식정보타운 S6블록
- 지하 3층~ 지상 29층 아파트 5개동 총 504가구로 구성
- 대우건설 컨소시엄(대우건설, 태영건설, 금호산업)


입지분석

○ 교통 :
- 서울, 광교, 판교 등과 연결되는 경부고속도로축과 서울외곽순환도로축의 중심에 위치
- GTX C 과천역에서 한 정거장 (도보15분)
- 지하철 4호선 과천지식정보타운역(가칭) 신설예정
- 제2경인연결고속도로, 47번국도, 과천봉담도시고속화도로 등 우수한 광역교통망
※ 과천지식정보타운이므로 2만개 일자리, 직주근접 최상
○ 학군 : 단지내 초등학교와 중학교 예정
과천외고, 과천고, 정보과학도서관, 평촌권역 학원가 등 우수한 교육환경
○ 생활편의시설 : 과천원도심과 평촌신도시의 풍부한 생활인프라 이용 편리
서울대공원, 서울랜드, 국립현대미술관, 렛츠런파크 등 가족친화적인 생활환경
○ (단점) 쓰레기소각장이 근처에 있음
청약 정보
○ 총 504세대 분양 : 특별공급 154세대, 일반공급 350세대
○ 청약자격 : 세대주여야 하며, 과거5년내 다른 주택 당첨 사실이 없어야 함
○ 추첨/가점제
- 전용면적 85㎡ 이하 : 가점제 100%
- 전용면적 85㎡ 초과 : 가점제 50%, 추첨제 50% 로 모집
○ 추첨방법 :
- 30%는 과천시 2년이상 거주(18년 7월 6일 이전부터 거주) : 30% 1순위 당해,
- 20%는 경기도 2년이상 거주((18년 7월 6일 이전부터 거주) 1순위 기타,
- 50%는 서울, 인천, 경기도(2년미만) 거주자 1순위 기타 순으로 모집
○ 과천은 투기과열지구 → 전매제한 10년 (청약 입주자 선정일로부터 10년)
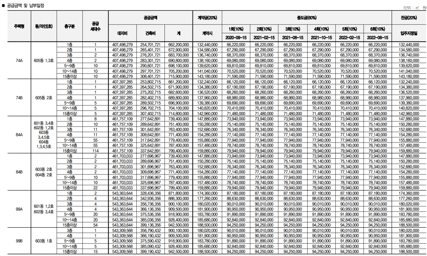
○ 공급금액 및 납부일정
- 계약금 20% 납부
- 중도금대출은 9억 이하 주택형에 기존 주택 담보대출이 없을 시 투기과열지구 주택담보대출비율(LTV)인 최대 40%까지 가능
9억 이상 주택형 (99A형, 99B형)은 중도금 대출 불가

→ 추첨배정물량이 있는 99A, 99B 주택형은 분양가가 9억이상이다 보니 중도금 대출이 되지 않기 때문에, 신중하게 청약 신청해야합니다. 99타입이 분양가 9.1억인데 60%면 5.46억은 현금 여력이 있어야 하는 거죠.
↓ 유튜브 "모두의부동산"채널에서 과천 푸르지오 벨라르테 청약분석자료를 잘 정리해서 알려주고 있으니 꼭 시청해보세요 :)
https://www.youtube.com/watch?v=8I_TVseqYPU
#2. 과천지식정보타운 사업자, 분양 일정

과천 푸르지오 벨라르테 분양건을 계기로, 과천지식정보타운에 대해서 알아보게 됐습니다.
과천지식정보타운 토지이용계획도

이 중 파란색으로 표시된 곳이, 과천지식정보타운의 핵심이 되는 지식기반산업용지이고, 노란색깔로 표시된 구역이 공동주택이 들어서게 되는 구역입니다.
과천지식정보타운 입주 기업 소개
- 과천지식정보타운 지식기반산업용지 -
계약체결 현황
|
획지번호 |
매 수 인 |
참여기업 리스트 |
|
|
지식1-4 |
(사) KOTITI 시험연구원 |
(사)KOTITI 시험연구원 |
|
|
지식2-2 |
㈜가비아 외 4개사 |
㈜가비아 |
㈜케이아엔엑스 |
|
㈜가비아씨엔에스 |
㈜엑스게이트 |
||
|
㈜ 피플커넥트 |
|
||
|
지식3 |
㈜과천상상 피에프브이 |
㈜케이티엔지 |
지에스건설(주) |
|
에스디에이엠씨(주) |
㈜다원디자인 |
||
|
한국산업은행 |
|
||
|
지식4-1 |
㈜광명전기외 2개사 |
㈜광명전기 |
피앤씨테크(주) |
|
㈜서현기술단 |
|
||
|
지식4-2 |
㈜목양자산관리 |
㈜목양종합건축사사무소 |
㈜탑인프라 |
|
㈜세움이앤씨건축사사무소 |
㈜케이이알 |
||
|
㈜더드림이앤씨 |
㈜신원기술단 |
||
|
지식4-3 |
일진머티리얼즈(주) 외 2개사 |
일진머티리얼즈㈜ |
일진건설(주) |
|
㈜일진유니스코 |
|
||
|
지식4-4 |
금강공업(주)외 1개사 |
금강공업㈜ |
금강정보시스템(주) |
|
지식4-5 |
㈜지에프알앤디 |
㈜진성에프엠 |
|
|
지식4-6 |
㈜케이사인외 4개사 |
㈜케이사인 |
㈜아이티 노매즈 |
|
㈜디에스멘토링 |
㈜세인트시큐리티 |
||
|
㈜에스씨테크원 |
|
||
|
지식4-7 |
에스케이씨코오롱피아이(주) |
에스케이씨코오롱피아이㈜ |
|
|
지식5-1 |
㈜행림종합건축사사무소 |
㈜행림종합건축사사무소 |
|
|
지식5-2 |
쿠도커뮤니케이션(주)외 4개사 |
쿠도커뮤니케이션㈜ |
㈜에스엔텍 |
|
㈜케이알티씨 |
㈜혜원까치종합건축사사무소 |
||
|
이엠종합건설(주) |
|
||
|
지식5-3 |
㈜제이더블유이노스퀘어 피에프브이 |
제이더블유홀딩스(주) |
제이더블유중외제약(주) |
|
㈜트리플아이앤디 |
아시아신탁(주) |
||
|
지식6 |
㈜신성이엔지 외 8개사 |
㈜신성이엔지 |
㈜경동엔지니어링 |
|
㈜선진엔지니어링 종합건축사사무소 |
일성신약(주) |
||
|
경동제약(주) |
㈜무영씨엠건축사 사무소 |
||
|
리딩투자증권(주) |
㈜뉴젠스 |
||
|
㈜종합건축사사무소근정 |
|
||
|
지식7 |
프리즘스퀘어 피에프브이(주) |
㈜티비스톰 |
에이엠텔레콤㈜ |
|
안국약품㈜ |
세종텔레콤(주) |
||
|
중소기업은행 |
|
||
|
지식8 |
과천지산옥타 피에프브이(주) |
대림산업㈜ |
화이트코리아(주) |
|
화이트코리아산업(주) |
하나금융투자(주) |
||
|
㈜국민은행 |
신영증권(주) |
||
|
국제자산신탁(주) |
|
||
|
지식9 |
코오롱글로벌(주)외 4개사 |
코오롱글로벌㈜ |
넷마블(주) |
|
넷마블엔투(주) |
넷마블넥서스(주) |
||
|
지스퀘어자산관리(주) |
|
||
|
지식10 |
㈜과천펜타시티 페이프브이 |
㈜오피트 |
㈜삼우 |
|
㈜가온아이 |
㈜시유메디칼시스템 |
||
|
㈜아이티센 |
㈜전자신문사 |
||
|
㈜위세아이텍 |
㈜소프트센 |
||
|
솔트웨어(주) |
㈜명성라이픽스 |
||
|
㈜에스아이티테크놀러지 |
㈜굿센 |
||
|
㈜시큐센 |
㈜파웰코퍼레이션 |
||
|
㈜이노웨이브글로벌 |
엔에씨정보시스템(주) |
||
|
㈜소프트일레븐 |
㈜메티스 |
||
|
㈜올엠 |
㈜한국전산감리원 |
||
|
㈜아이비리더스 |
㈜리눅스데이타시스템 |
||
|
㈜미소정보기술 |
㈜파웰이엔지 |
||
|
키움증권(주) |
샘코파트너스(주) |
||
|
지토종합건설(주) |
|
||
|
지식11-1 |
RFHIC(주) |
RFHIC㈜ |
|
|
지식12-1 |
㈜펄어비스 |
㈜펄어비스 |
|
|
지식12-2 |
㈜비상교육 |
㈜비상교육 |
|
아래 글에서 과천지식정보타운에 입주 예정인 기업 정보들이 잘 정리되어 있습니다.
https://cafe.naver.com/anyangtalk/225942
과천지식정보타운 입주 기업 소개
대한민국 모임의 시작, 네이버 카페
cafe.naver.com
과천 지식정보타운 공동주택지구 : 아파트 분양일정

과천 지식정보타운 내 공동주택지구에는 8천 여가구가 분양 예정입니다.
공동주택지구 : S1, S2, S3, S4, S5, S6, S6, S7, S8, S9, S10, S11, S12
| 구역 | 세대수 | 단지명 | 분양 일정 |
| S1 | 435 | 일반분양 (대우건설 컨소시엄) : 과천 푸르지오 오르투스 | 2020년 중 예정 |
| S2 | 783 | 미정 | |
| S3 | 476 | 공공분양 | |
| S4 | 679 | 일반분양 (대우건설 컨소시엄) : 과천 푸르지오 어울림 라비엔오 | 2020년 중 예정 |
| S5 | 584 | 일반분양 (대우건설 컨소시엄) : 과천 데시앙 | 2020년 중 예정 |
| S6 | 504 | 일반분양 (대우건설 컨소시엄) : 과천 푸르지오 벨라르테 | 분양 중('20.7월) |
| S7 | 542 | 신혼희망타운 | |
| S8 | 608 | 일반분양 (우미/신동아건설) : | |
| S10 | 612 | 영구임대 | |
| S11 | 846 | 행복주택 | |
| S12 | 1467 | 행복주택 |
이 중, 이번에 처음으로 민간분양하는 곳이 바로 S6구역의 과천 푸르지오 벨라르테입니다.
대우건설은 향후 공급할 3개 블록(S4, S5, S1) 아파트도 올해 안에 분양할 예정이라고 밝혔습니다.
앞으로 계속 이어질, 과천 지식정보타운 내 주요 주택 공급단지 모두 분양가상한제 적용 예정이라고 합니다. 아마도 S6구역인 과천 푸르지오 벨라르테보다 S1, S4, S5 의 입지가 확실히 더 좋기 때문에 이 곳들의 예상분양가는 당연히 과천 푸르지오 벨라르테 보다는 높을 것입니다.
과천 지식정보타운, 알면 알수록 더 탐나고 매력적인 곳 같아요. 저는 자금 여력이 부족해서, 이번 과천 푸르지오 벨라르테 청약 신청은 그저 이렇게 분석만 해봤습니다. 또 다른 좋은 기회를 기다리며 부린이의 청약 탐구는 계속 됩니다 :)
뿅!
생큐베리머치 드림